ИСТОРИЯ
НОРМАТИВНЫЕ АКТЫ
Tinkoff


В.В. Макрусев, В.А. Черных. «Управление таможенным делом»

• организацией входного контроля предметов труда;

• организацией хранения и распределения предметов труда по рабочим местам.

Качество персонала определяется системой подбора, профессиональной ориентацией, подготовкой и систематическим повышением квалификации (уровнем компетентности).

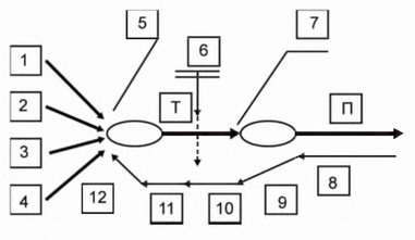
Важным методическим элементом системы управления качеством процессов и результатов, позволяющим обеспечить стабильность качества труда и систематическое его улучшение, является цикл управления качеством (рис. 15.5). Цикл предполагает рассмотрение законченной технологической операции, производственной функции или этапа работы на любом уровне управления — от конкретного исполнителя (должностного лица, работника) до руководителя коллектива (структурного подразделения, таможенного органа). Проработка всех элементов цикла управления качеством по всем этапам производства и технологическим операциям в соответствии с элементами жизненного цикла продукции (услуги) позволяет создать требуемый механизм обеспечения стабильности качества результатов труда. При этом главное внимание следует обращать на профилактическое предотвращение отклонений от установленных требований.

Цикл управления качеством предполагает включение в технологический процесс выполнения любой работы следующих элементов:

• входного контроля качества всех элементов производства;

• контроля качества труда в процессе выполнения работы;

• контроля качества выполненной работы;

• документального оформления возвратов и претензий потребителя результатов труда к качеству выполненной работы;

• анализа причин возникающих отклонений и разработки корректирующих и предупреждающих действий;

• разработки и реализации мероприятий по улучшению.

Рис. 15.5. Цикл управления качеством: 1 — средства труда, 2 — предметы труда. 3 — персонал; 4 — документация; 5 — входной контроль; 6 — пооперационный контроль; 7 — окончательный контроль; 8 — претензии; 9 — регистрация претензий; 10 — анализ причин отклонений; 11 — разработка корректирующих и предупреждающих действий; 12 — освоение (внедрение) корректирующих и предупреждающих действий; Т — технологический процесс: П — потребитель

Этап разработки корректирующих и предупреждающих действий предполагает выяснение причин отклонений результатов труда от установленных требований и комплексное воздействие на средства и предметы труда, персонал и документацию на всех уровнях управления по всем направлениям деятельности.

15.4. СТАНДАРТИЗАЦИЯ В ОБЕСПЕЧЕНИИ КАЧЕСТВА ТАМОЖЕННЫХ УСЛУГ. МЕТРОЛОГИЧЕСКОЕ ОБЕСПЕЧЕНИЕ ТАМОЖЕННЫХ ОРГАНОВ

Сущность стандартизации заключается в установлении обязательных норм, требований и правил, имеющих важное значение для общества, государства, отрасли деятельности или организации. Стандарт является документом, утвержденным в соответствии с установленной процедурой и содержащим нормы, требования и правила, обязательные для исполнения с учетом уровня утверждения.

В управлении качеством продукции и услуг стандартизация имеет значение как методическая, нормативная и инструментальная основа для документирования параметров качества и процедур их обеспечения.

В соответствии с Федеральным законом РФ от 27.12.2002 г. № 184-ФЗ «О техническом регулировании» стандартизация осуществляется в целях:

• повышения уровня безопасности жизни или здоровья граждан, имущества физических или юридических лиц, государственного или муниципального имущества, экологической безопасности, безопасности жизни или здоровья животных и растений и содействия соблюдению требований технических регламентов;

• повышения уровня безопасности объектов с учетом риска возникновения чрезвычайных ситуаций природного и техногенного характера;

• обеспечения научно-технического прогресса;

• повышения конкурентоспособности продукции, работ, услуг;

• рационального использования ресурсов;

• технической и информационной совместимости;

• сопоставимости результатов исследований (испытаний) и измерений, технических и экономико-статистических данных;

• взаимозаменяемости продукции

Документальную основу систем управления качеством составляют, как правило, стандарты организаций (ранее они имели категорию стандартов предприятий — СТП). Стандарты организаций разрабатываются и утверждаются организациями самостоятельно, исходя из необходимости совершенствования производства и обеспечения качества продукции, выполнения работ, оказания услуг.

Повышение качества таможенных услуг, осуществляемых таможенными органами, непосредственно связано со стандартизацией процедур таможенного оформления и таможенного контроля товаров и транспортных средств.

Метрология — это наука об измерениях, методах и средствах обеспечения их единства и способах достижения требуемой точности. К числу основных вопросов метрологии относятся: единицы физических величин, методы и средства измерений, методы определения точности измерений, эталоны и образцовые средства измерений, методы передачи размеров единиц от эталонов и образцовых средств измерений к рабочим средствам измерений.

В соответствии с Законом РФ «Об обеспечении единства измерений» под метрологическим обеспечением деятельности понимается установление и применение организационных основ, технических средств, правил и норм, необходимых для достижения единства и требуемой точности измерений. Организационной основой метрологического обеспечения являются государственная и ведомственные метрологические службы.

<<   [1] ... [113] [114] [115] [116] [117] [118] [119] [120] [121] [122] [123] [124] ...  [136]  >> 

Tinkoff


Контактная информация: e-mail: [email protected]   
Все о таможне